高级检索

基于气−水两相流的注热CO2增产CH4数值模拟研究

Numerical study of heat injection CO2 to increase CH4 production based on gas-water two-phase flow

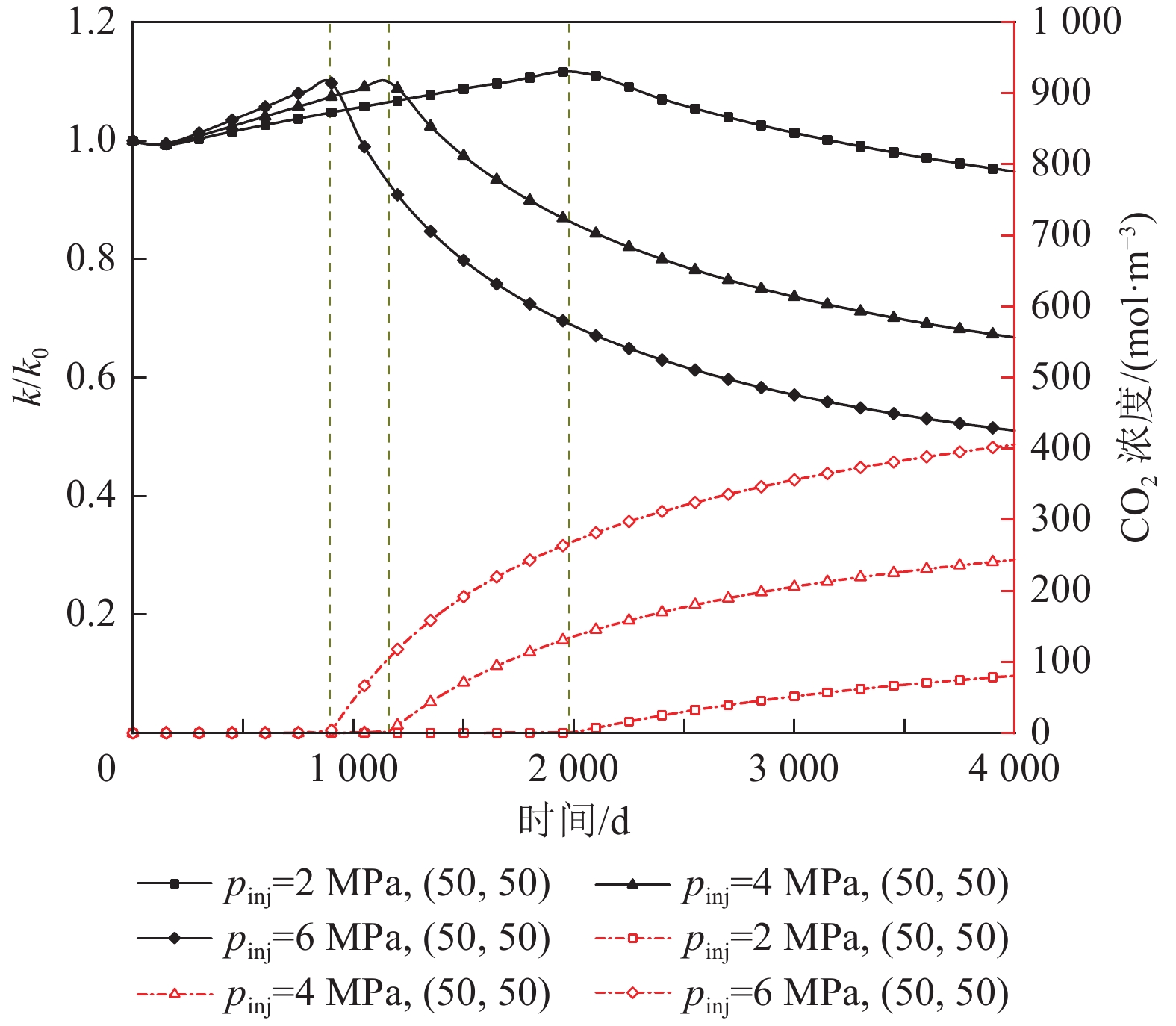
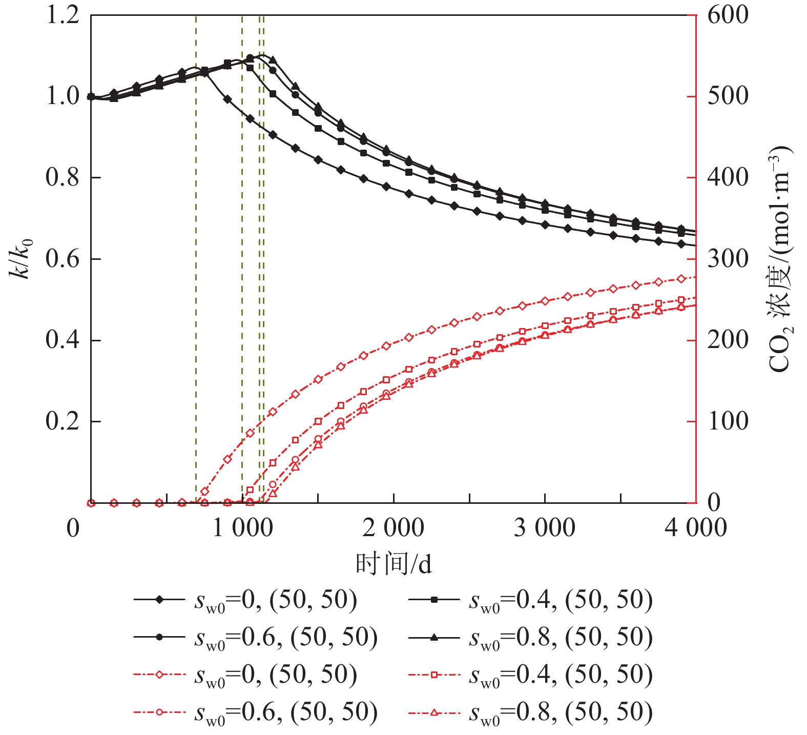
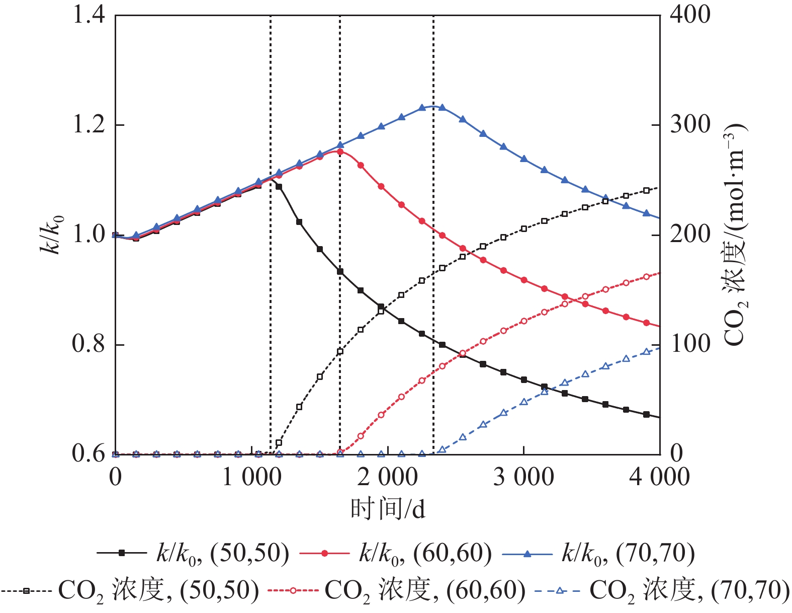
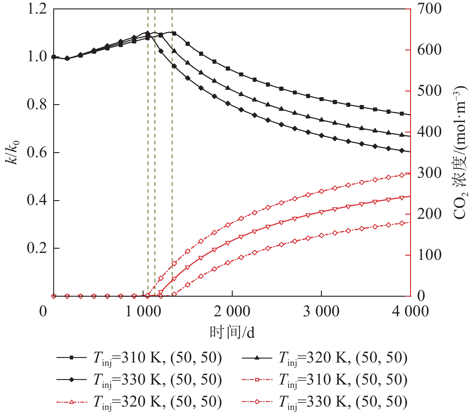
  • 摘要: 注CO2增产煤层气技术(CO2−ECBM)可以降低温室气体排放,具有清洁能源生产和环境保护的功能。为研究气−水两相流条件下,在含水煤层中注CO2增产CH4的排采规律以及不同初始含水饱和度、不同CO2注入条件对CH4产量、CO2储存和储层渗透率的影响,构建了竞争吸附、温度变化、煤体变形以及水运移的流−固−热耦合模型,通过与现场数据、已有试验以及现有模型的数值解结果,对比证明了模型有较高的准确性并对模型的优势做出具体阐述,随后利用COMSOL开展了CO2−ECBM数值模拟。结果表明:注CO2可以提升CH4产气速率和产气量,这表明了注CO2增产的可行性。随着CO2持续注入,储层CH4浓度降低,CO2浓度升高,注气井附近温度升高,生产井附近温度降低且从注气井到生产井的温度缓慢下降;注气抽采期间,水相相对渗透率逐渐减小,气相相对渗透率逐渐增大。由于有效应力、基质收缩/膨胀共同作用,储层渗透率呈现“降低—升高—降低”的趋势;煤层初始含水饱和度越大,CH4产量越低,渗透率下降幅度越小。累计CH4产量最大下降15.19%,忽略煤层中水的影响会高估CH4产量,在进行数值模拟时要考虑煤层水的影响;CO2注入温度与注入压力越大,CH4产量越大,渗透率下降幅度越大。累计CH4产量分别增加13.27%、39.77%,渗透率分别下降20.4%、46.14%,提高CO2注入温度和注入压力有利于提高CH4产量。

     

    Abstract: The technology of CO2-enhanced coalbed methane (CO2-ECBM) can reduce greenhouse gas emissions, and has the function of clean energy production and environmental protection. In order to study the drainage and production laws of CH4 production by CO2 injection in water-bearing coal seams under gas-water two-phase flow conditions, as well as the effects of different initial water saturation and CO2 injection conditions on CH4 production, CO2 storage, and reservoir permeability. A coupled fluid-solid-thermal model for competitive adsorption, temperature changes, coal deformation, and water transport was constructed. The high accuracy of the model was demonstrated by comparing with the field data, existing experiments and numerical solutions of existing model, and the advantages of the model were specified. CO2-ECBM numerical simulation were subsequently carried out using COMSOL. The results shown that, CO2 injection can enhance the rate and amount of CH4 production, which indicated the feasibility of CO2 injection to increase production. With the continuous CO2 injection, the CH4 concentration in the reservoir decreased, the CO2 concentration increased, the temperature near the gas injection well increased, the temperature near the production well decreased and the temperature from the gas injection well to the production well slowly decreased. Water phase relative permeability gradually decreased and gas phase relative permeability gradually increased during gas injection and extraction period. Due to the combined effect of effective stress and matrix shrinkage/expansion, the reservoir permeability exhibited a trend of “decrease-increase-decrease”. The higher the initial water saturation of the coal seam, the lower the CH4 production and the lower the permeability decrease. The maximum decrease in cumulative CH4 production was 15.19%. Ignoring the impact of water in coal seams can overestimate CH4 production, and the impact of coal seam water should be considered in numerical simulation. The higher the CO2 injection temperature and pressure, the greater the CH4 production and the greater the permeability decrease. The cumulative CH4 production increased by 13.27% and 39.77%, and permeability decreased by 20.4% and 46.14%, respectively. Increasing the CO2 injection temperature and pressure was conducive to increase CH4 production.

     

/

返回文章
返回