高级检索

小断层影响下的采空区瓦斯运移规律研究

Study on gas migration law in goaf under the influence of small faults

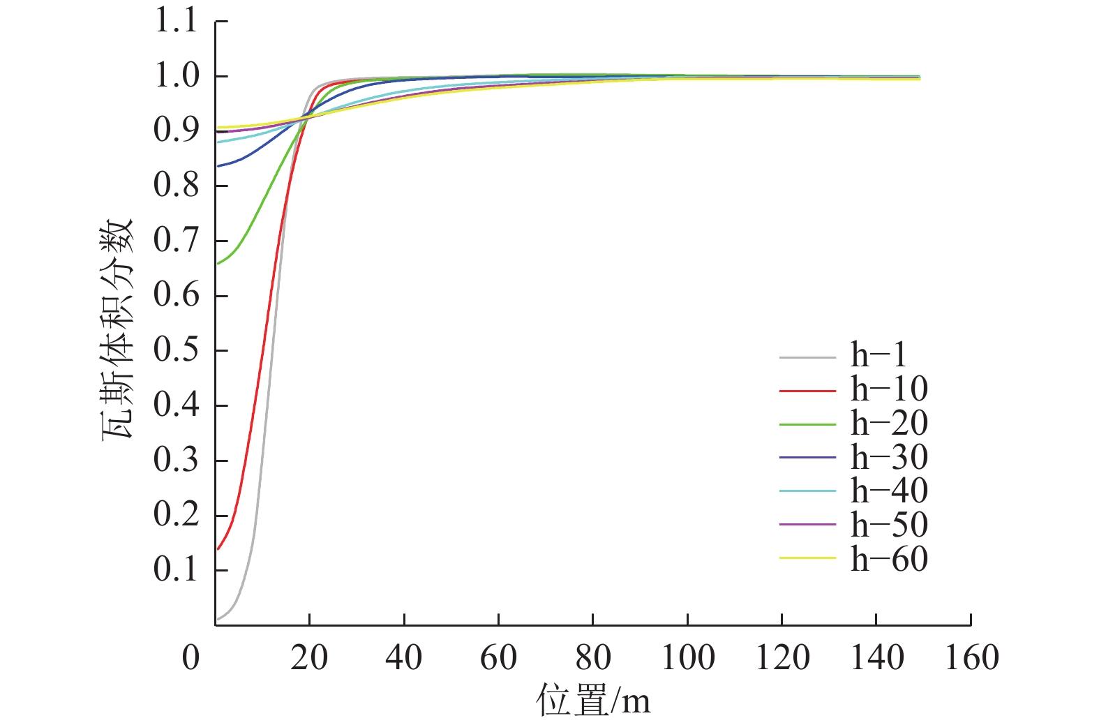
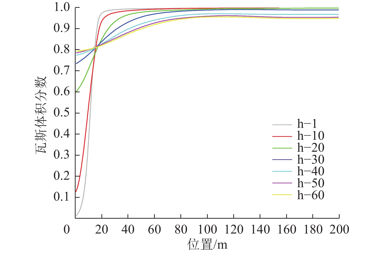
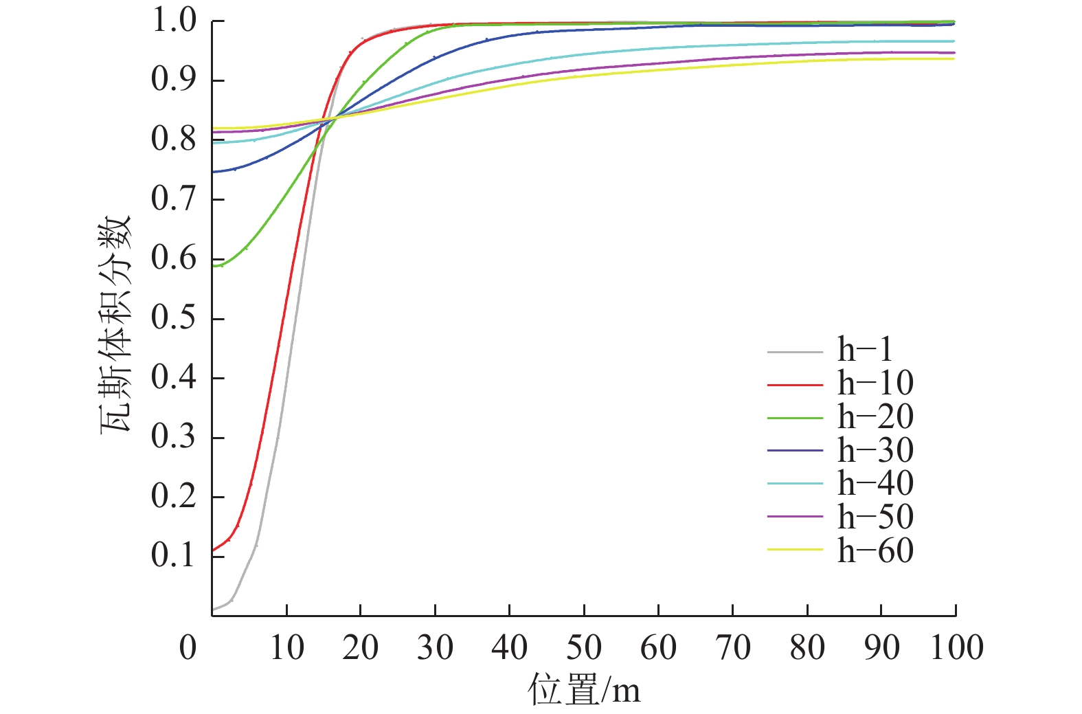
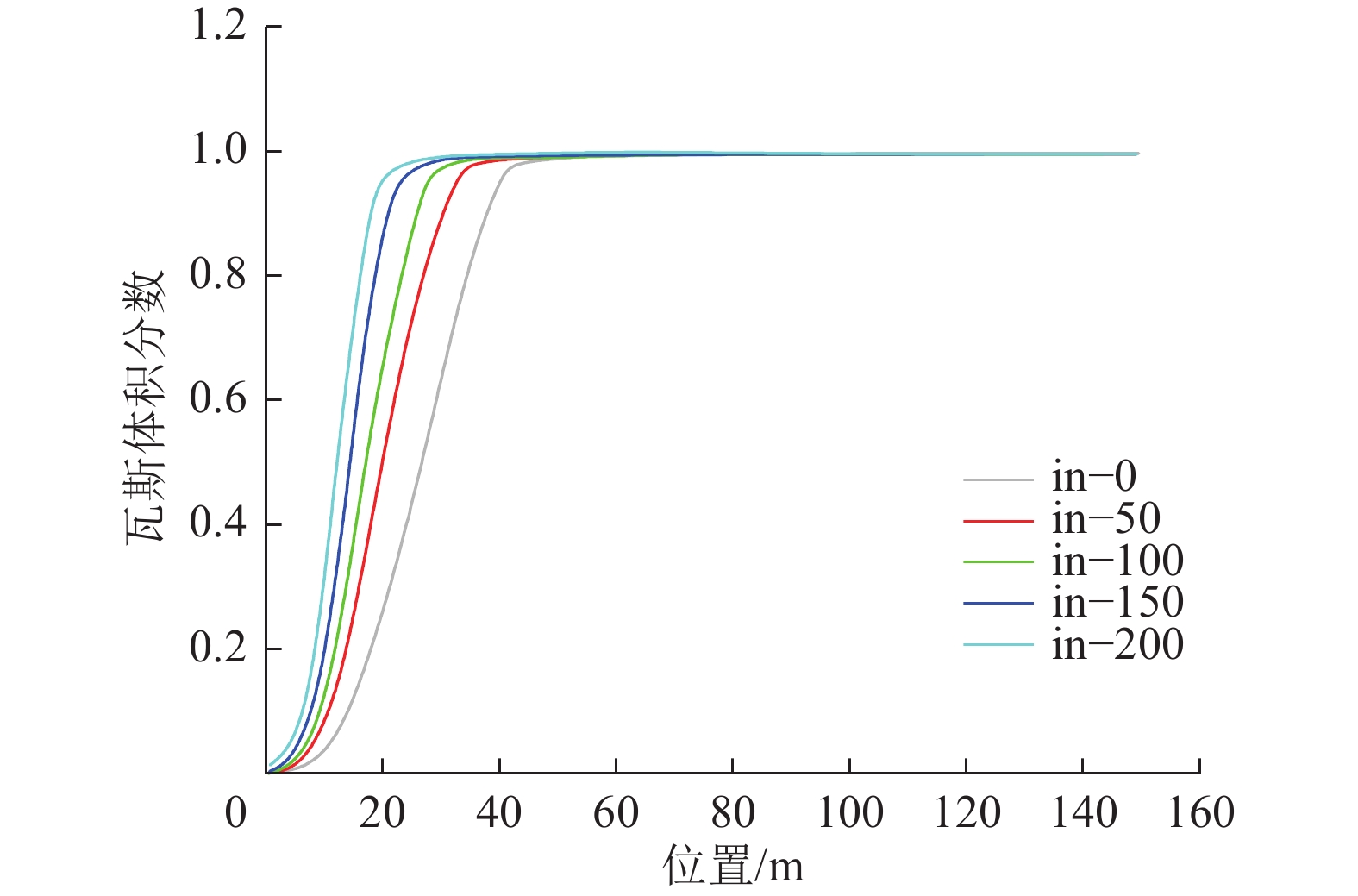
  • 摘要: 在煤矿开采过程中,小断层会导致采空区瓦斯聚集形成瓦斯富集区,对生产安全具有很大威胁,因此有必要研究小断层影响下的采空区瓦斯运移规律。通过UDEC数值模拟采空区上覆岩层破坏过程,从而计算小断层影响下采空区上覆岩层的空隙率,并利用FLUENT软件数值模拟开采过程中考虑小断层影响的采空区瓦斯运移规律。研究表明:①工作面距离小断层20 m远处,小断层从顶部首先出现滑移现象,采空区上覆岩层的位移开始受到断层的影响;工作面到达断层时,由于断层滑移,上盘岩体在断层面滑移产生回转现象,支撑着采空区岩层,覆岩垮落位移量出现大幅度减小,并且岩层垮落出现滞后现象;小断层的影响范围有限,工作面过小断层60 m之后,采空区上覆岩层位移规律逐渐恢复正常。②通过分析含小断层采空区上覆岩层位移特征,得到了采空区上覆岩层位移及其拟合公式,计算得到了三维空隙率分布规律:垮落带范围内,覆岩空隙率在4个隅角位置最大,并且断层靠近进回风巷的位置也出现了空隙率增高;裂隙带范围内,除断层靠近进回风巷的位置空隙率较大,其他位置空隙率相对较低且变化不明显。③获得了小断层影响下的采空区瓦斯运移规律:在工作面距离断层50 m远处,采空区瓦斯运移几乎不受断层的影响;在工作面推进至断层时,瓦斯沿着断层及其附近的高空隙率覆岩产生的优势逃逸通道向采空区深部运移,同时上盘的瓦斯也向深部转移导致大量瓦斯积聚在断层下盘,可能导致瓦斯随漏风流入工作面及回风巷;在工作面过断层50 m时,采空区瓦斯继续向上隅角附近转移;工作面过断层100 m时,采空区上覆岩层瓦斯运移出现回转现象,上隅角和下盘垮落带瓦斯体积分数高。

     

    Abstract: In the process of coal mining, small faults can lead to the accumulation of gas in the goaf, forming a gas enrichment zone, which poses a great threat to production safety. Therefore, it is necessary to study the gas migration law in the goaf under the influence of small faults. By using UDEC software to numerically simulate the failure process of the overlying strata in the goaf, the porosity of the overlying strata under the influence of small faults is calculated, and FLUENT software is used to numerically simulate the gas migration law in the goaf considering the influence of small faults during the mining process. Research has shown that: ① the working face is 20 m away from the small fault, and the sliding phenomenon first appears from the top of the small fault, and the displacement of the overlying rock layer in the goaf begins to be affected by the fault; When the working face reaches the fault, due to the sliding of the fault, the hanging wall rock mass undergoes a rotation phenomenon on the fault surface, supporting the rock strata in the goaf. The displacement of the overlying rock collapses significantly, and the rock strata collapse lags behind; The influence range of small faults is limited, and after the working face passes through the small fault for 60 m, the displacement law of the overlying strata in the goaf gradually returns to normal. ② By analyzing the displacement characteristics of the overlying strata in the goaf containing small faults, the displacement of the overlying strata in the goaf and its fitting formula were obtained. The three-dimensional porosity distribution law was calculated: within the range of the caving zone, the porosity of the overlying strata is the highest at four corner positions, and there is also an increase in porosity near the inlet and outlet air tunnels of the faults; Within the fracture zone, except for the position where the fault is close to the inlet and return air roadway, the porosity is relatively low and the change is not significant in other positions. ③ Obtained the gas migration law in the goaf under the influence of small faults: At a distance of 50 m from the fault in the working face, the gas migration in the goaf is almost not affected by the fault; When the working face advances to the fault, the gas migrates along the advantageous escape channel generated by the high porosity overlying rock near the fault towards the deep part of the goaf. At the same time, the gas in the hanging wall also transfers towards the deep part, causing a large amount of gas to accumulate in the lower wall of the fault, which may cause the gas to flow into the working face and return air roadway with the leakage air; When the working face passes through a fault of 50 m, the gas in the goaf continues to transfer towards the vicinity of the upper corner; When the working face passes through a fault of 100 m, the gas migration in the overlying strata of the goaf shows a turning phenomenon, and the gas concentration in the upper corner and lower wall caving zones is high.

     

/

返回文章
返回