高级检索

准噶尔盆地东部西山窑组煤地球化学特征及古环境意义

Geochemical characteristics and paleoenvironmental significance of the Xishanyao Formation coal in the eastern Junggar Basin

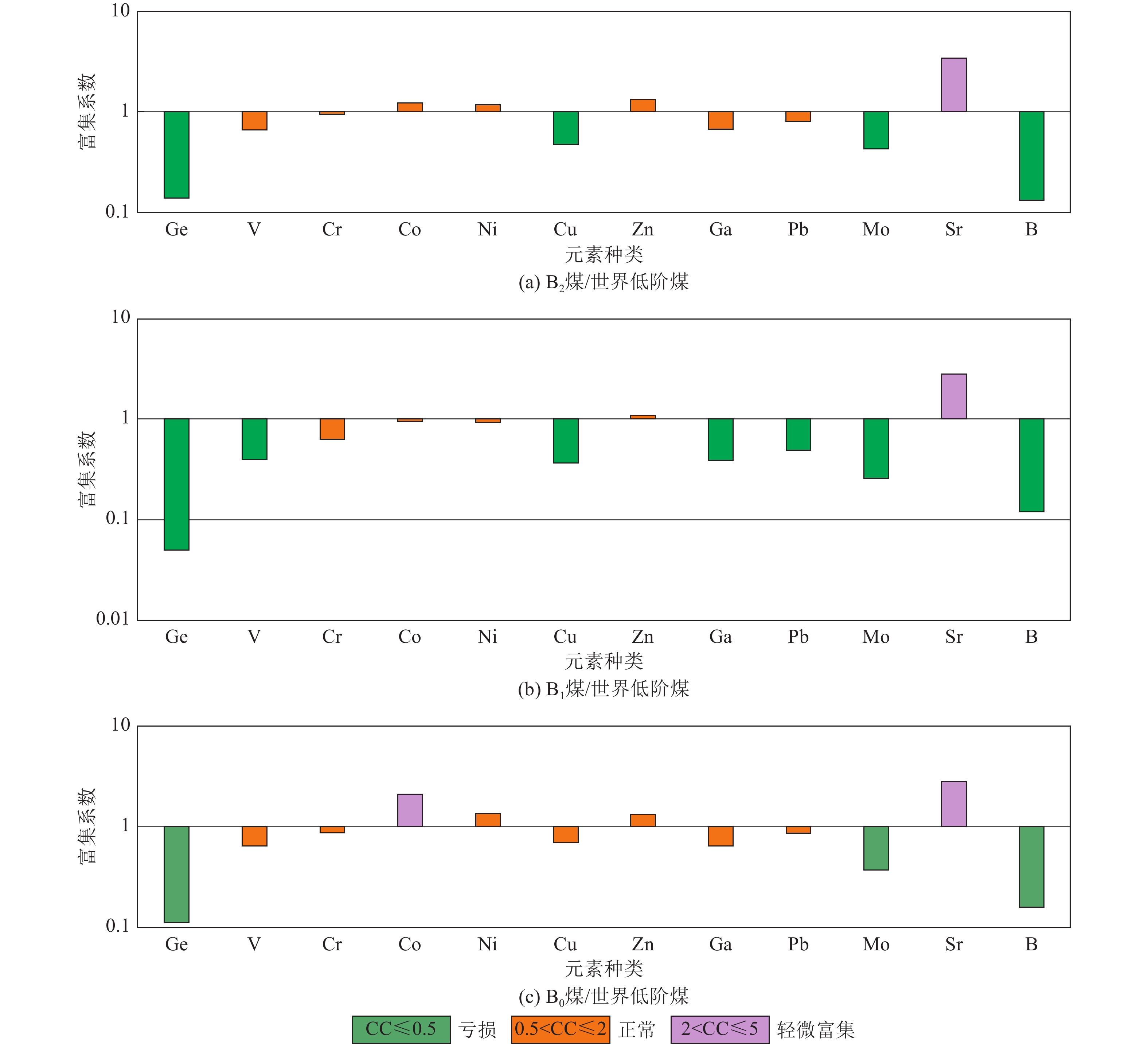
  • 摘要: 准噶尔盆地是我国西北地区重要的含煤盆地,其东部煤田是我国新疆大型煤炭基地的重要组成部分,蕴藏着丰富的煤炭资源。以准噶尔盆地东部中侏罗世西山窑组B0、B1和B2煤层为研究对象,选取220个煤样品进行了详细的微量元素测定,并对16个煤样品进行了显微组分和镜质组最大反射率测试分析,在此基础上,综合分析了准噶尔盆地东部中侏罗世西山窑组成煤时期泥炭沼泽水体的氧化还原状态、古盐度特征以及成煤时期的古气候和大气氧含量变化特征。与世界低阶煤均值相比,准噶尔盆地东部中侏罗世西山窑组B0、B1和B2煤中Sr元素轻微富集,除此之外,B0煤中还存在Co元素轻微富集。Ni/Co-V/Cr和Ni/Co-Mo图解分析表明,泥炭沼泽处于氧化和贫氧状态,由此推断泥炭沼泽中水体的活动性较强,游离态的氧含量较高。煤中B/Ga比值的变化趋势表明,从B0到B1再到B2煤层,泥炭沼泽水体的古盐度逐渐升高,上部B2煤层沉积过程中泥炭沼泽古盐度较高可能是由水体蒸发量增加造成的,同时也表明B2煤层沉积时期的古气候呈现相对干热的特征。通过对B0、B1和B2煤中Sr/Cu比值分析得出,从西山窑组下部的B0煤层到中部的B1煤层再到上部的B2煤层,准噶尔盆地东部西山窑组成煤时期的古气候自下而上经历了由相对温湿逐渐向相对干热转变的过程。B0、B1和B2煤层中惰质组平均体积分数在40.4%~57.2%,平均值为48.5%,基于惰质组与大气氧含量的关系模型,估算出中侏罗世的大气氧体积分数约为27.7%,远高于持续燃烧所需的最低大气氧水平。

     

    Abstract: The Junggar Basin is an important coal-bearing basin in northwestern China. The coalfield in the east of the Junggar basin is an important part of the large Xinjiang coal base, and contains rich coal resources. In this study, we undertook a multi-proxy study evaluating trace elements, macerals and vitrinite maximum reflectance from coal seams B0, B1 and B2 of the middle Jurassic Xishanyao Formation to characterize paleoredox and paleosalinity conditions of coal-forming swamp and atmospheric oxygen level and paleoclimate during coal-forming period in the eastern Junggar Basin. 220 coal samples were selected from coal seams B0, B1 and B2 in order to determine trace elements. Moreover, macerals and vitrinite maximum reflectance of 16 coal samples was investigated. Compared with average values for world low-rank coals, the coal seams B0, B1 and B2 of the middle Jurassic Xishanyao Formation in the eastern Junggar Basin are slightly enriched in Sr, in addition, the coal seam B0 is also slightly enriched in Co. The analysis of Ni/Co-V/Cr and Ni/Co-Mo diagrams indicates that swamp was in oxic and dysoxic condition, which infers that the water in swamp has strong activity and high free oxygen content. According to B/Ga ratio analysis, the paleosalinity of swamp gradually increases from coal seam B0 to coal seam B1 and then to coal seam B2. The high paleosalinity of swamp during coal-forming period of coal seam B2 may be caused by an increase in the evaporation of water, which also indicates that the paleoclimate was relatively dry and hot during this period. The Sr/Cu ratios in coal seams B0, B1 and B2 reveal that the paleoclimate experienced a gradual transition from relatively warm and humid condition to relatively dry and hot condition from bottom to top during the Xishanyao Formation coal-forming period. The inertinite content varies from 40.4% to 57.2% with an average of 48.5% in coal seams B0, B1, and B2. Inferred atmospheric oxygen concentration in the middle Jurassic, as estimated from inertinite contents, were ~27.7%, which is much higher than the minimum required for sustained combustion.

     

/

返回文章
返回