高级检索

基于小波散射变换的煤矿瓦斯和煤尘爆炸声音识别方法

Sound identification method of coal mine gas and coal dust explosion based on wavelet scattering transform

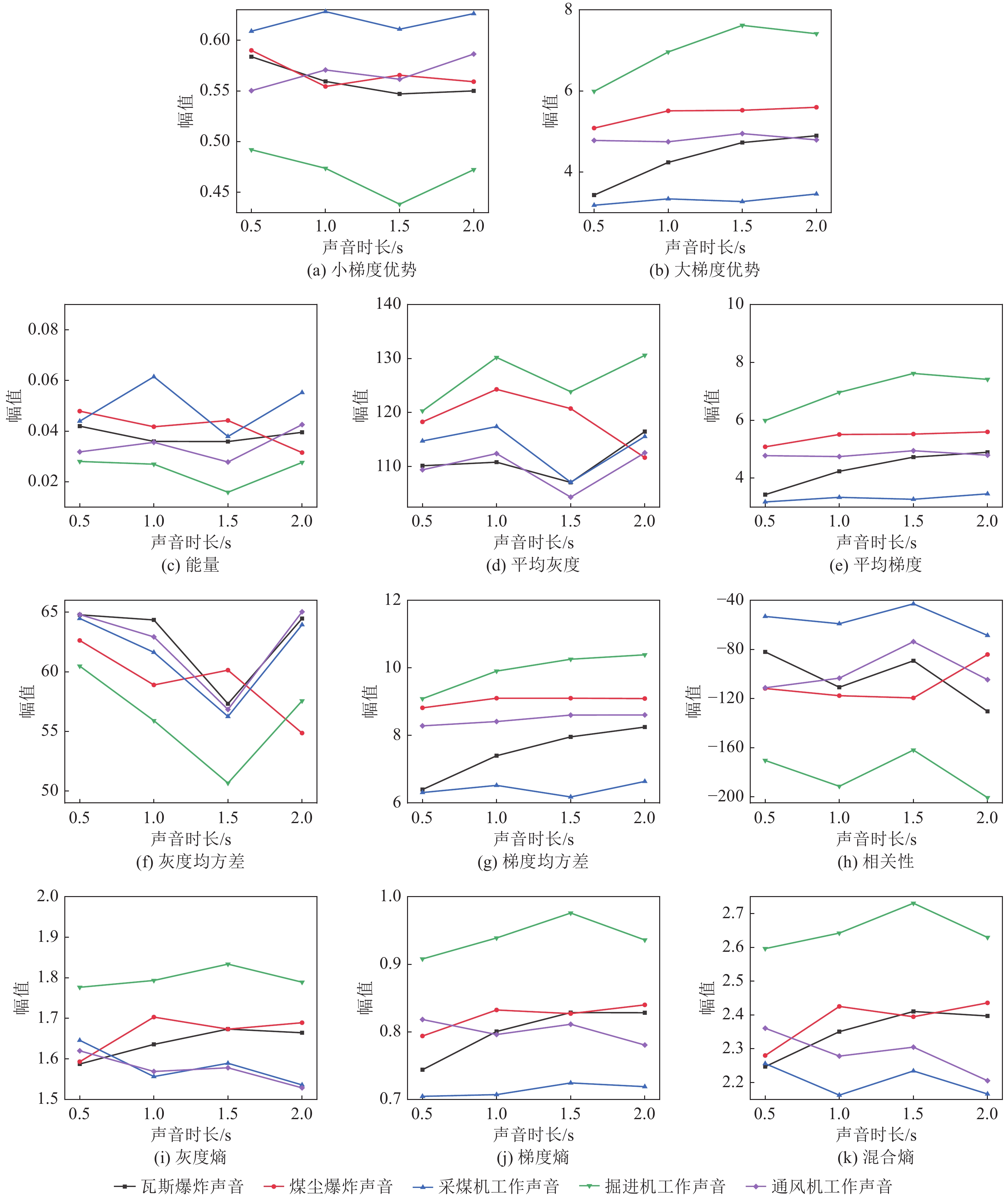
  • 摘要: 为解决煤矿瓦斯与煤尘爆炸灾害报警方法误报率和漏报率高等问题,提高煤矿瓦斯和煤尘爆炸感知准确率,提出了基于小波散射变换的煤矿瓦斯和煤尘爆炸声音识别方法:在煤矿井下重点监测区域安装矿用拾音设备,实时采集设备工作声音和环境音;将采集到的声音通过小波散射变换得到小波散射系数,构建声音信号的小波散射系数图,通过计算小波散射系数图的图像灰度梯度共生矩阵得到由小梯度优势、大梯度优势、能量、灰度平均、梯度平均、灰度均方差、梯度均方差、相关性、灰度熵、梯度熵、混合熵等构成的十一维特征参数,构成表征该声音信号的特征向量,输入到支持向量机(SVM)中训练得到煤矿瓦斯和煤尘爆炸声音识别模型;对待测声音信号同样提取其小波散射系数图的灰度梯度共生矩阵得到十一维特征向量,输入到训练好的煤矿瓦斯和煤尘爆炸声音识别模型中进行声音识别分类,并进行试验验证。采取声音信号的特征提取试验,分析了不同声音的小波散射图及其特征参数分布特点,瓦斯和煤尘爆炸声音的小波散射系数图及其十一维特征向量与煤矿井下其他声音差异明显,证明了所提特征提取方法的可行性;通过贝叶斯优化完成支持向量机超参数优化试验,选取更符合训练模型的超参数,识别试验结果表明,所提方法的识别率为95.77%,明显优于其他对比算法,能够满足煤矿瓦斯和煤尘爆炸识别的需求。

     

    Abstract: To solve the problems of high false alarm rate and leakage rate of coal mine gas and coal dust explosion disaster alarm methods, and improve the accuracy of coal mine gas and coal dust explosion perception, sound identification method of coal mine gas and coal dust explosion based on wavelet scattering transform was proposed: install mining sound pickup equipment in the critical monitoring area of coal mine underground, and collect equipment working sound and environmental sound in real time, the wavelet scattering coefficients were obtained from the collected sound by wavelet scattering transform, the wavelet scattering coefficients of the sound signal were constructed, the collected the 11-dimensional feature parameters consisting of small gradient dominance, large gradient dominance, energy, gray average, gradient average, gray mean square difference, gradient mean square difference, correlation, gray entropy, gradient entropy, mixing entropy were obtained by calculating the image gray gradient co-generation matrix of the wavelet scattering coefficient map, which constituted the feature vector characterizing the sound signal, and were input to the support vector machine for training to obtain the coal mine the 11-dimensional feature vectors were obtained by extracting the gray gradient covariance matrix of the wavelet scattering coefficient map of the sound signal to be measured, and bring it into the trained coal mine gas and coal dust explosion sound recognition model for sound recognition classification, it verified by experiments. The wavelet scattering coefficients of different sounds and their feature parameter distribution characteristics were analyzed, the wavelet scattering coefficients of gas and coal dust explosion sounds and their 11-dimensional feature vectors were significantly different from other sounds in the coal mine, the feasibility of the proposed feature extraction method was demonstrated. Support vector machine hyperparameter optimization experiments completed by Bayesian optimization to select hyperparameters that better fit the training model, and the recognition experimental results show that the recognition rate of the proposed method was 95.77%, which was significantly better than other comparison algorithms. It can meet the needs of coal mine gas and coal dust explosion recognition.

     

/

返回文章
返回